Declassified UFO / UAP Document

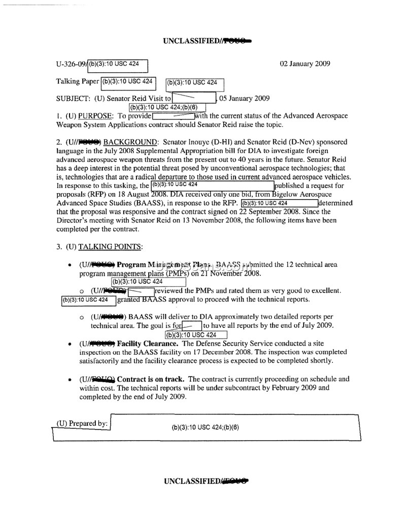
Talking Paper: Senator Reid Visit to [illegible]

🏛 DIA 📄 Talking Paper

Ever wanted to host your own late-night paranormal radio show?

Across the Airwaves · Narrative Sim · Windows · $2.95

You're on the air. Callers bring Mothman, Fresno Nightcrawlers, UFO sightings, reptilian autopsies, and whispers about AATIP and Project Blue Book. Every reply shapes how the night goes.

UFO & UAP Cryptids Paranormal Government Secrets Classified Files High Strangeness Strange Creatures
The night is long. The lines are open →

AI-Generated Summary

TL;DR

This DIA talking paper provides a status update on the Advanced Aerospace Weapon System Applications contract awarded to Bigelow Aerospace Advanced Space Studies (BAASS). It confirms the project is on schedule and within budget as of January 2009.

This document is a talking paper dated 02 January 2009, prepared for a visit by Senator Reid regarding the Advanced Aerospace Weapon System Applications (AAWSA) contract. The background of the programme stems from language sponsored by Senator Inouye and Senator Reid in the July 2008 Supplemental Appropriation bill, which sought to investigate foreign advanced aerospace weapon threats. Following a request for proposals issued by the DIA on 18 August 2008, Bigelow Aerospace Advanced Space Studies (BAASS) was the sole bidder and was awarded the contract. The document confirms that the contract is proceeding on schedule and within budget. Key milestones noted include the submission of technical area program management plans by BAASS on 21 November 2008, which were rated as very good to excellent. Additionally, the Defense Security Service completed a site inspection of the BAASS facility on 17 December 2008, with the facility clearance process expected to be completed shortly. The document outlines that BAASS is expected to deliver two detailed reports per technical area, with all reports due by the end of July 2009.

Senator Reid has a deep interest in the potential threat posed by unconventional aerospace technologies; that is, technologies that are a radical departure to those used in current advanced aerospace vehicles.

Official Assessment

The contract with Bigelow Aerospace Advanced Space Studies (BAASS) is on schedule and within cost. Technical reports are expected by July 2009, and facility clearance was completed in December 2008.

Key Persons

  • Senator InouyeSponsor of the Supplemental Appropriation bill
  • Senator ReidInterested party in unconventional aerospace technologies